Chemie der Biomoleküle III: Aminosäuren
Wegweiser
Es geht um die Aminosäuren, die Bausteine der Proteine. Wir betrachten hier die allgemeinen chemischen Eigenschaften, die alle Aminosäuren teilen.
- Grundlagen der organischen Chemie
- C-C Einfach- und Doppelbindungen
- Chiralität
- Funktionelle Gruppen (vor allem Amino- und Carboxygruppe)
- pKs, pH, Titrationskurven
Der grundlegende Aufbau von Aminosäuren und dass sie Zwitterionen sind. Die Peptidbindung, die Aminosäuren zu langen Ketten verknüpft.
Aminosäuren
Proteine sind Polymere aus einem Satz von 20 Bausteinen, den Aminosäuren. α-Aminosäuren bestehen aus einem C-Atom (dem C alpha, Cα), einer Aminogruppe (NH2), einer Carboxygruppe (COOH), einem Wasserstoff (H-Atom) und einer Seitenkette (residue, R). Zusätzliche C-Atome, die sich in den Seitenketten befinden, werden dann als Cβ, Cɣ, etc. bezeichnet.

Das Cα ist das chirale Zentrum der Aminosäure und ist asymmetrisch (außer bei Glycin). Bei Aminosäuren, die die Proteine bilden, befindet sich die NH2 Gruppe in der Fischerprojektion links, was bedeutet, dass eine L-Konfiguration vorliegt. Generell gibt es für die meisten Aminosäuren allerdings auch die D-Konfiguration.
Ionisierung von Aminosäuren
Aminosäuren sind dipolare Ionen: die Aminogruppe (NH3+) und die Carboxygruppe (COO–) fungieren dabei als schwache Säuren und Basen. Da beide Gruppen in Aminosäuren vorkommen, werden diese auch Zwitterionen genannt. Das bedeutet, dass eine Aminosäure je nach pH-Wert, eine unterschiedliche Menge Protonen trägt und daher auch unterschiedlich geladen sein kann: positiv, neutral oder negativ.

Die pKa-Werte der beiden funktionalen Gruppen lassen sich anhand einer charakteristischen Titrationskurve ermitteln. Allerdings können weitere funktionale Gruppen in einigen der Seitenketten hinzukommen, die dann ebenfalls einen weiteren spezifischen pKa haben (z. B. bei Histidin, Lysin, etc.). Bei diesen Aminosäuren sind nicht drei, sondern vier Ladungszustände möglich, abhängig vom umliegenden pH-Wert. Die Titrationskurven von Aminosäuren enthalten weitere interessante Informationen:
- Die pKa-Werte der Gruppen lassen sich ermitteln.
- Das Plateau der Kurve zeigt an, bei welchem pH-Bereich die Aminosäure gut puffert.
- Die Ladung der Aminosäure bei unterschiedlichen pH-Werten lässt sich ablesen: am Wendepunkt der Kurve ist die Ladung neutral. Dies wird auch der Isoelektrische Punkt (IP) genannt. Der Punkt lässt sich auch errechnen, indem man das arithmetische Mittel der beiden pKa-Werte nimmt, die die +1 und -1 Ladung erzeugen.

Die Titrationskurven der Aminosäuren verdeutlichen einige ihrer Eigenschaften. Die Plateaus sind die pKas der Amino- (NH3+) and Carboxygruppe (COO–). Der Wendepunkt der Kurven zeigt den Isoelektrischen Punkt (IP) an. Aminosäuren mit einer zusätzlichen funktionalen Gruppe in der Seitenkette (z.B. Lysin oder Asparaginsäure) besitzen einen dritten pKa. In diesem Fall werden die beiden pKa, die sich links und rechts vom IP befinden dazu genutzt den IP zu bestimmen.
Die Peptidbindung
Proteine sind Polymere aus einzelnen Aminosäuren. Allerdings müssen diese zuerst durch eine Peptidbindung verknüpft werden, damit ein funktionales Protein entsteht.

Zwei Aminosäuren werden zu einem Peptid (ein Amid) verknüpft. Diese kovalente Bindung ist das Ergebnis einer Kondensationsreaktion zwischen der Carboxygruppe einer Aminosäure mit der Aminogruppe der nächsten. Bei der Reaktion entsteht ein Wassermolekül als Nebenprodukt. Solche Dipeptide können dann weiter verlängert werden und bilden Tripeptide, Tetrapeptide, usw. Solche Polypeptide sind also unverzweigte Aminosäureketten. Dabei gibt es eine Namenskonvention: wenn das Polypeptid kürzer ist als ~ 50 Aminosäuren oder wenn dessen Molekulargewicht niedriger als ~10.000 Dalton (Da) ist, wird es Peptid genannt. Ist es größer oder schwerer, ist es ein Protein.
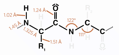
Anatomie der Peptidbindung
Das Rückgrat eines Polypeptids besteht aus Abfolgen von …-N-Cα-C-… Atomen. Jede zusätzliche Aminosäure fügt der Kette drei weitere hinzu. Die Peptidbindung (C-N) ist dabei besonders interessant, da das C-Atom der Carboxygruppe eine Doppelbindung sowohl mit dem Sauerstoff oder dem Stickstoff des Rückgrats eingehen kann. Die Doppelbindung wechselt dabei ständig zwischen diesen beiden Möglichkeiten, sodass diese einen partiellen Doppelbindungscharakter haben. Atome, die per Doppelbindung miteinander verbunden sind, können nicht mehr entlang ihrer Bindungsachse rotieren. Das ganze resultiert darin, dass die vier unten gezeigten Atome (O=C-N-H bzw. O-C=N-H) auf einer Ebene liegen.

Wie sieht es mit den anderen beiden Bindungen des N-Cα-C Rückgrats aus? Diese sind über Einzelbindungen verknüpft, so dass Rotation möglich ist. Die Winkel, die sich dabei bilden heissen Psi (Ѱ) und Phi (Φ).

Zuletzt bleibt noch zu bemerken, dass es bei den Seitenketten eine cis-trans-Isomerie gibt. Die überwiegend vorkommende Konfiguration ist in trans, sodass die Seitenketten in unterschiedliche Richtungen weisen. Die kurzlebigen cis-Zustände können aber eine wichtige Rolle bei Proteinfaltung spielen.

Da jede Aminosäure das -N-Cα-C- Rückgrat enthält, spielt es keine Rolle, wie viele dieser Bausteine zu einer Polypeptidkette verknüpft werden, die äusseren Enden sehen immer gleich aus: NH2 (N-Terminus) und COOH (C-Terminus).
Wie geht es von hier weiter?
Die Aminosäuren waren die dritte große Gruppe der Biomoleküle. Sie sind die Bausteine der Proteine, die in den Zellen eine wichtige Rolle spielen.
Von hier aus kann man
- direkt zu den Proteinen und den einzelnen Aminosäuren springen (Kurs: Biochemie I) oder
- im nächsten Kapitel etwas über die Chemie der letzten große Gruppe der Biomoleküle lernen, den Nucleinsäuren